Hyppää sisältöön
Tämä on YJA:n QA ympäristö.

Laatuseloste: Tavaroiden ulkomaankaupan yksikköarvo- ja volyymi-indeksit (2020=100)

Tulli, Tilastointi

Tilaston kuvaus

Tavaroiden ulkomaankaupan yksikköarvo- ja volyymi-indeksit kuuluvat Suomen virallisiin tilastoihin (SVT). Tilasto kuvaa tavaroiden ulkomaankaupan hinta- ja määräkehitystä ja niissä tapahtuvia muutoksia.

1. Tilastotietojen relevanssi

Tilasto sisältää sekä kuukausittaiset tiedot että 12 kuukauden liukuvat keskiarvot vienti- ja tuontihintojen, vaihtosuhteen sekä viennin ja tuonnin määrän kehityksestä. Indeksit julkaistaan lisäksi sisä- ja ulkokaupalle erikseen. Indeksit lasketaan ja julkaistaan käyttäen tuoteluokitusta CPA 2015 (Classification of Products by Activities). Perusvuosi on 2020=100.

Ulkomaankaupan yksikköarvoindeksit tuotetaan aineistosta, joka sisältää tavaroiden yrityskohtaiset ulkomaankaupan tiedot luokiteltuna EU:n yhdistetyn nimikkeistön CN8 (Combined Nomenclature) mukaan. Kuukausittaisia yksikköarvoindeksejä laskettaessa käytetään hintatietoina indeksinimikkeiden tilastoarvoa CN-nimikkeistön ilmoittamaa paljousyksikköä kohti yritystasolla. Indeksinimikkeet CPA4-tasolla (CPA2015) on luokiteltu siten, että indeksilaskennalle ongelmalliset nimikkeet (arvoja epäsäännöllisesti, kuten: laivat ja ilma-alukset sekä joitakin palvelu-nimikkeiden alla esiintyviä nimikkeitä), on luokiteltu luokkaan ”Muut”. Tämä luokka poikkeaa muualla ulkomaankauppatilastoissa olevasta erittelemättömien luokasta. Nimikkeiden luokitus volyymi-indekseille on vastaava.

Hinta- ja määräkehitystä kuvaavat indeksit ovat tärkeä väline sekä julkisen että yksityisen sektorin päätöksentekijöille, suunnittelijoille ja tutkijoille niin kansallisella tasolla kuin EU:n ja useiden kansainvälisten järjestöjen toiminnassa.

2. Tietojen tarkkuus ja luotettavuus

Tiedot Suomen käymästä kaupasta muiden EU-maiden kanssa kerätään pääsääntöisesti yritysten antamista tilastoilmoituksista sisäkaupan Intrastat-järjestelmällä. Tiedot Suomen ja kolmansien maiden välisestä tavarakaupasta saadaan tulli-ilmoituksista, jotka on annettava jokaisesta tuonti- ja vientilähetyksestä. Suomen ulkomaankauppatilaston laadinnassa sisä- ja ulkokaupan tiedot yhdistetään.

Kuukausittainen indeksiaineisto tarkastetaan ulkomaankaupan kuukausiaineiston valmistumisen jälkeen. Tämän lisäksi yksikköarvoindeksien laskennassa rajataan mahdolliset virheelliset tai ”outlier” hintatiedot laskennan ulkopuolelle hintasuhderajauksella [0,5;2]. Hyödykkeille, joiden hintavaihtelu on suurta, sallitaan laajempi hintasuhdevaihtelu. Indeksilaskenta tehdään kaksi kertaa kuussa. Ensimmäisen kerran ulkomaankaupan ennakkotilaston julkaisun yhteydessä ja uusi laskenta ja päivitys ulkomaankaupan kuukausitilaston yhteydessä. Lopullisen yksikköarvoindeksien laskenta-aineiston arvo kattaa 80 – 94 % vastaavasta ulkomaankauppatilaston kuukausittaisesta arvosta. Volyymi-indeksien laskennassa käytössä on koko ulkomaankaupan kuukausiaineisto.

Ulkomaankaupan yksikköarvoindeksien laskenta perustuu Laspeyres:in ja volyymi-indeksien Paasche:n teoriaan. Indeksit lasketaan ketjuindekseinä perusvuodesta 2020, jolloin vertailuvuosi on aina laskentavuotta edeltävä vuosi.

Mikrotason (CPA4) yksikköarvoindeksien painoina käytetään laskentakuukauden arvopainoja.

Kaava, mikrotaso. Tiedustelut: Tilastopalvelu p. +35829552335, sähköposti tilastot@tulli.fi

Kaavassa pit on yrityksen nimikekohtainen laskentakuukauden hinta ja qit vastaava laskentakuukauden paljous ja pi0 on vertailuvuoden (ed.vuosi) yritys*cn kuukausittaisten keskihintojen keskiarvo.

Makrotason (CPA3-CPA1) yksikköarvoindeksit lasketaan painotettuna keksiarvona alemman tason mikroindekseistä. Painoina edellisen vuoden arvopainot:

Kaava, makrotaso. Tiedustelut: Tilastopalvelu p. +35829552335, sähköposti tilastot@tulli.fi

Volyymi-indeksejä varten lasketaan ensin arvoindeksit:

Kaava, arvoindeksit. Tiedustelut: Tilastopalvelu p. +35829552335, sähköposti tilastot@tulli.fi

Arvoindekseistä saadaan volyymi-indeksit jakamalla yksikköarvoindeksillä:

Kaava, volyymi-indeksit. Tiedustelut: Tilastopalvelu p. +35829552335, sähköposti tilastot@tulli.fi

Kuukausittaisista yksikköarvo- ja arvo-indekseistä lasketaan kuukausimuutokset, jotka ketjutetaan kertomalla laskettavan kuukauden indeksien muutos ed. kuukauden vastaavilla muutoksilla. Vuoden vaihteen ketjutuksessa joulukuu lasketaan uudelleen uuden laskentavuoden painoilla ja tammikuun muutos saadaan vertaamalla tammikuun indeksejä uudelleen laskettuun joulukuuhun. Saatu muutos kerrotaan varsinaisen joulukuun ketjutetulla muutoksella.

Kaava, ketjutus. Tiedustelut: Tilastopalvelu p. +35829552335, sähköposti tilastot@tulli.fi

Vaihtosuhteen pisteluku lasketaan kaavasta: (viennin yksikköarvoindeksi / tuonnin yksikköarvoindeksi) x 100.

Liukuva keskiarvo lasketaan laskentakuukaudesta taaksepäin 12 kuukauden aritmeettisena keskiarvona ketjutetuista yksikköarvoindekseistä I(Li). Volyymi-indeksien liukuva keskiarvo lasketaan vastaavasti valmiista volyymi-indekseistä I(Pi).

Uudet yritykset otetaan laskentaan mukaan CPA4-tasolla. Jos yritys*cn-nimike on mukana ulkomaankaupan tilastossa kaksi peräkkäistä kuukautta, lasketaan sille keinotekoinen perusvuoden hinta: ensimmäisen mukana olevan kuukauden nykyhinta jaetaan vastaavalla CPA4-tason indeksillä:

Kaava, keinotekoinen perusvuoden hinta. Tiedustelut: Tilastopalvelu p. +35829552335, sähköposti tilastot@tulli.fi

Silloin, kun CPA4-tason indeksi puuttuu, korvataan se CPA3-tason vastaavalla indeksillä.

Imputointi tehdään yksikköarvoindeksien laskennassa CPA3-tasolla. Puuttuvat indeksit korvataan edellisen kuukauden vastaavalla indeksillä, johon lisätään kuluvan ja ed. kuukauden yleisindeksin muutos. Arvoindeksien laskennassa 0-arvo korvataan 0,1:llä, jotta nimike pysyy ketjutuksessa mukana.

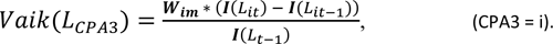
Vaikutus. Yksikköarvo- ja volyymi-indekseille lasketaan ja julkaistaan lisäksi alemman indeksinimikkeen muutoksen vaikutus yleisindeksin muutokseen. Ketjuindeksien vaikutuslaskelmassa, jossa arvopainot vaihtuvat vuosittain, on käytetty painoina kuukausien määrällä painotettuja keskiarvopainoja. Vaikutukset lasketaan kaavalla:

Kaava, vaikutus. Tiedustelut: Tilastopalvelu p. +35829552335, sähköposti tilastot@tulli.fi

Kaavassa Wim on laskentavuoden ja edellisen vuoden perusvuoden painojen kuukausilla painotettu keskiarvo. I(Lit) on laskentakuukauden CPA-tason indeksi, I(Lit-1) on edellisen vuoden vastaavan kuukauden CPA-tason indeksi ja I(Lt-1) on edellisen vuoden yleisindeksi.

3. Tietojen ajantasaisuus ja oikea-aikaisuus

Kuukausikohtaiset ulkomaankaupan yksikköarvo- ja volyymi-indeksit julkaistaan ennakollisena viimeistään 38 päivän kuluttua tilastokuukauden päättymisen jälkeen. Ennakolliset indeksit päivitetään ja julkaistaan yksityiskohtaisemmin viimeistään 60 päivän kuluttua tilastokuukauden päättymisen jälkeen. Julkaisuaikataulu määritellään aina edeltävän vuoden syksyllä seuraavan tilastovuodelle. Julkistamiskalenteria pidetään yllä Tullin verkkosivuilla.

Indeksien julkaisuaikataulu: Tavaroiden ulkomaankauppatilastojen julkistamiskalenteri

4. Tilastojen yhtenäisyys ja vertailukelpoisuus

Tavaroiden ulkomaankaupan yksikkö- ja volyymi-indeksit, perusvuosi 2020=100, ovat nykyisillä luokituksilla saatavissa vuodesta 2020 lähtien. Aiemmin käytetyistä CPA2008-nimikkeistä, perusvuosi 2010=100, on ketjutettu myös CPA2002-indeksejä taaksepäin vuoteen 2002 asti.

Tavaroiden ulkomaankaupan indeksejä on Tullissa tuotettu aina vuodesta 1919 lähtien. Vanhemmat ulkomaankauppaindeksit löytyvät paperitulosteina arkistoista.

5. Tietojen saatavuus ja selkeys

Ulkomaankaupan yksikköarvo- ja volyymi-indeksien tiedot julkaistaan Tullin verkkosivuilla ennalta ilmoitettuina julkaisuhetkinä. Uljas-tietokannassa ennakkotilaston yhteydessä indeksit julkaistaan CPA1-tasolla ennakkotilastohakemistossa ja yksityiskohtaisemmin kuukausitilaston yhteydessä CPA3-tasolla omassa indeksit- hakemistossa.

Ulkomaankauppatilastoista saa lisätietoja Tullin verkkosivuilta kohdasta tilastot. Sivuilta löytyvät mm. ulkomaankauppatilastojen tilastointiperiaatteet sekä kaikki Tullin julkaisemat tilastot ja katsaukset Suomen tavaroiden ulkomaankaupasta.

Lisätietoja:

Tilastopalvelu: puh. 0295 52335
Sähköposti: tilastot[at]tulli.fi
Verkkosivut: tulli.fi
Uljas-tilastotietokanta: uljas.tulli.fi